Editor’s Note:
Monday afternoon, after publication, the attorney for RE/MAX emailed us to say that “the matter has been amicably resolved.”
An elderly widow signed a contract to sell her home, but she later broke her leg and was unable to move.
The homeowner refunded the buyers’ deposit and released them from their contract.
But the I-Team has learned that months later her own real estate broker is demanding more than $25,000 and threatening legal action over a lost sales commission.
For nearly 20 years, Jackeline Estrada shared her Spring Hill home with her husband Robert.

“This home was my heart and soul,” Jackeline said.
But after Robert passed away from a prolonged illness, the home became a painful reminder of her loss.
“I thought it would get easier. It's not getting easier. It's getting harder,” Jackeline said.
She decided to sell and downsize.
Last spring Jackeline signed a home listing agreement with RE/MAX Collective agency in Carrollwood.
A shattered leg leads to months of recovery

The house got an offer in June, and Jackeline was preparing to move until she fell on July 2nd and shattered her leg.
She underwent hours of surgery for multiple breaks.
“I've got a lot of hardware in there. I didn’t think my leg could take that much,” she said, showing the scars on her leg.
After weeks of recovery and in-home rehab, Jackeline said she still couldn’t move out.
“The doctor said to me, he says you’re not ready yet. He said your leg, he said it’s not healed,” Jackeline said.
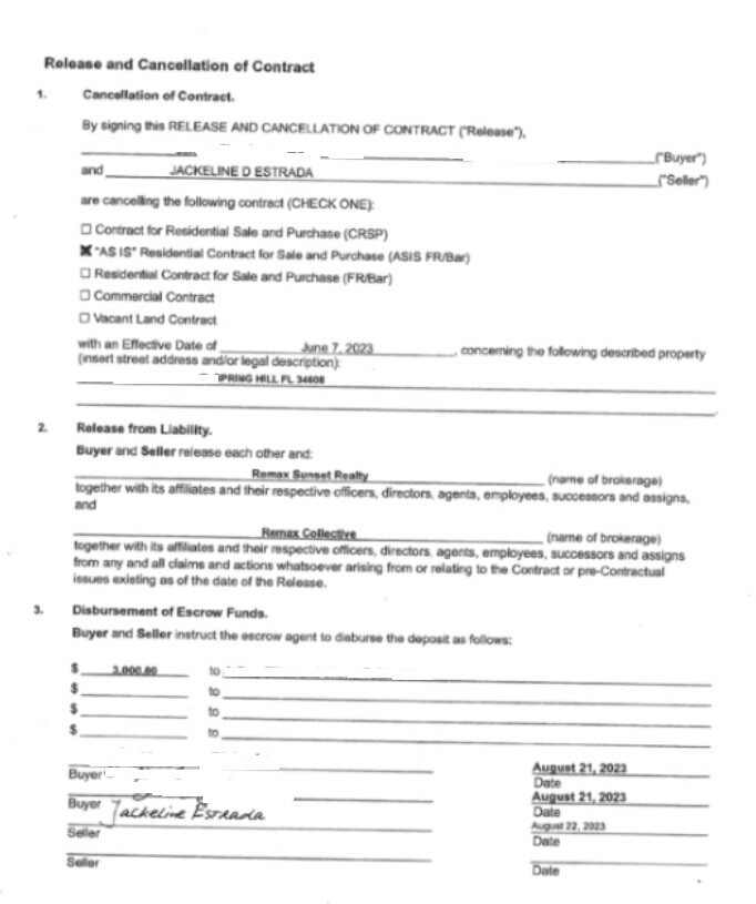
In late August, Jackeline and the buyers, two investors, signed a release and cancellation of the contract agreement.

She says she signed it on the advice of her Realtor.
“The buyers backed out. They said we can’t wait that long for this house. He told me you’re fine. We're not going to hold you to anything,” Jackeline said.
According to the document, the parties agreed to release each other from “all claims and actions arising from or relating to the contract.”
Broker’s attorney sends demand letter

But seven months later, Jackeline received a certified letter from attorney Cristen Martinez, which said, “inexplicably, you refused to sell the property at the closing, even though all terms and conditions of the sales agreement and listing agreement had been met.”
Jackeline hired real estate attorney Andy Lyons.
“The realtor decided they were going to come after her, a 75-year-old woman who fell and broke her leg, for their commission,” Lyons said. “They want her to go into her bank account to pay them on a commission for a sale that never happened.”

The total amount requested was $23,740, which includes a seven percent commission and a $990 fee.
The letter also demanded legal fees for the broker.
“Everybody agreed to let her out of it and walk away. I've been practicing law for 30 years, and I've never seen this once,” Lyons said.
We contacted Jackeline’s agent, broker, and attorney, Cristen Martinez, by phone and email.
We heard back from South Florida attorney Gary Rosner, who also represents RE/MAX.
He said in an email...
“While we do not litigate cases through the media, I assure you that our client has acted in good faith and with the highest level of professionalism. It has spent time and money assisting Ms. Estrada. Our client has the utmost respect for all members of the community, regardless of age and have extended every possible courtesy to Ms. Estrada. However, our client has a valid claim for services rendered.”
“I wasn’t born with a silver spoon”

“I'm not sleeping. I'm not eating,” Jackeline said.
Jackeline says she agreed to let her agent sell the house when she was ready to move and was shocked by the demand letter.
“If I was to sell it, this house has to pay for my next house,” she said.
She doesn’t believe she would be able to afford to buy a new home if she also had to pay the amount of money demanded from her broker.
Jackeline says she worked hard as a hairdresser, waitress, and home health aid to buy a home and pay off the mortgage.
“I wasn’t born with a silver spoon in my mouth. It was probably a used plastic spoon,” she said.
If you have a story you’d like the I-Team to investigate, email us at adam@abcactionnews.com

Missing St. Petersburg boater found dead in channel south of Maximo Park: PCSO
The Pinellas County Sheriff’s Office (PCSO) said Tony Le was boating with his family near channel marker 18 when he fell into the water. Witnesses attempted to locate him but were unsuccessful.